洪水波传播和地下设施洪水泛滥

M. Oertel & A. Schlenkhoff
水利工程系, 民用工程部,乌珀塔尔大学,德国
摘要


一般来说,防洪措施发生故障可能会造成洪水波产生。洪水传播区域地下设施很可能会被淹没,并且使得周围居民处于高度危险中。因此,必需尽可能获取较多的关于洪水波特征信息,以便于分析其对地下设施所造成的危害。建立一个有效率洪水波特征模式将有助于拟定相关的防洪对策。为此,乌珀塔尔大学水利工程系的水利实验室建立一个水工物理模型。
关键词:洪水,故障,地下设施,洪水波传播,仿真

1. 引言

防洪措施分为三个部分:(1)技术防洪(2)防洪区管理(3)预防措施。此外在洪水事件期间防洪措施操作规范也被提到日程上来(德国减少自然灾害委员会,2003)。而相关预防措施必须包括水利现象的详细数据分析。因此,像上述技术防洪措施发生故障时,这种无法预料的灾害将格外的突显与被重视。目前,调查研究的重点还是放在分析在河堤或堤坝发生破坏后的洪水波传播过程的水利现象。但是由于对地下设施防洪过程没有详细描述,因此需要建立一个水工物理模型,利用仿真软件模拟在平板上洪水波传播过程和随后的地下量注入过程,以监测洪水的主要流动特性。

2. 物理模型


物理模型(见图1和图2)的缩放比例从1:20调整到1:13。水工模型是带有一个完整缺口的水槽,且该缺口是靠着权重系统打开。而在传播板上可以找到不同几何边界条件的六个开口。

3. 结果

3.1 波传播


由于水槽缺口处流动速度不同,因此波传播是非对称的。利用红外传感装置可记录板上近1000待测点的波形,并通过分析和计算得出水深、速度及随时间变化的波传播。其中主要考虑两个条件:(1)稳态波(2)暂态传播特性(见图3和图4)。波传播现象可以用来验证地下洪水流动控制体积的边界条件。尤其考虑到缩放比例对结果的影响,因此数值模拟需加以详细分析及描述。

3.2 缩放比例的影响

Briechle (2006) 建立一个波传播的解析模型,该模型以缺口处为中心轴线并把缩放比例从1:1调整到1:2 。未调整(缩放比例)所获结果与调整后的具有良好的一致性。
由于水深较浅和流动速度较低,因此可假设结果是不受缺口-轴线的缩放比例影响。Briechle 进行一项关于缩放比例影响的详细分析,目的是把小比例模型量化。通过分析和计算,获得传播板上的雷诺数和韦伯数,之后可根据计算值查出其临界值(见图5)。分析表明:除了粘度外,其它任何参数都不会影响其表面张力。因此,利用逆推方法可计算绝对粗糙度数值(k),这样可以使粘度影响量化。有关详情可参阅 Oertel (2007)。图6 为计算得出的绝对粗糙度结果,特别在其左侧,k值越大,缩放比例影响越会发生。

3.3 地下设施洪水流动过程
3.3.1 洪水类型

一般对地下设施来说,洪水分为三种不同类型:
1. 直接、主动洪流(动态)
第一种类型描述洪水直接流入地下设施,主要流动分量是沿径向并朝着开口方向流动。在地下排水设施容积内,过快升高的水位表征该洪水类型的特点。
其主要变量为:流入地下设施的径向水深、流动速度及几何边界条件。
2. 侧向, 主动洪流(动态)
第二种类型当作洪水超过堰板后从侧向溢流。一些处理缺口排放调查研究常被用于监测流入地下建筑的排量。 
其主要变量:流入地下设施的切向水深、流动速度及几何边界条件。
3. 间接, 被动洪流(静态)
第三种类型是在静态洪水中发生,并以最低能量水头流入地下设施,导致其被淹。 
其主要变量:流入地下设施的水深及几何边界条件。

3.3.2 地下设施内危害

地下设施内主要存在两种危害:1. 涌入水的强度;2.地下建筑内的不断升高水位。危害一:常常发生于入口区域,并且其危害超出居民抵抗力的极限。RESCDAM (2000)研究分析了大水槽内抵御流动水冲击的可能性,从而给出了所谓的乘积数或落差数算式,其是以流速v及水深h乘积给定的,方程式如下:

一般来说,人可以抵御落差数SN在0.64 m2/s和1.26 m2/s之间(RESCDAM, 2000)。危害二:常常发生于地下建筑里,当不断升高水位到达一个hkrit1.5m临界水深时,这增加人被淹没的危险。因此,地下建筑内危险性依赖于与流入量 Qfill 及底面积 Ap相关的临界注满时间 tkrit,其方程式如下:

3.3.3 洪水类型(一):结果


目前所呈现的波传结果可用于定义第一类洪水造成地下设施损坏的危险性级别。在把测量值转换为自然变数后(Froude-model, 见图8和图9),可以计算落差数SN和临界注满时间。特别在其附近可以看到被记录的大落差数,并且导致临界注满时间的记录结果小于一分钟。此外需估算出冲击力大小,用来获取是否打开紧急出口门可能性的信息。这也对现有风险有重要影响,但不会在本文详细讨论(见Oertel,2008)。

3.3.4 洪水类型(二):结果


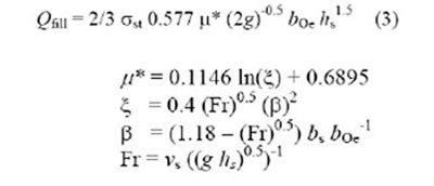
如上所述,类型二是对侧向缺口排泄的详细研究。德国人提供一个简单的解决方法,主要是利用溢流系数来计算堰板后侧向排泄量。Disse et al. (2003) 更详细观察该问题,并给出一个方程式用来计算通过缺口处的排泄量。此方程用于类型二的流入地下设施侧向流量,方程式如下:

其中,

Qfill 为流入地下设施的流量,σst为侧向溢流系数,μ*为标准溢流系数,g为重力,hs为街道峡谷处水深,bOe为开口宽度, vs为街道峡谷处速度。

当街道峡谷处vs为低速时,侧向溢流最大值会产生(见图10)。对Fr > 0.75来说,推荐用法也被证明。实验结果与FLOW-3D数值模拟进行了比较,并运用类型一进行验证其可用。对比两者,可发现其具有良好的一致性,这使得利用FLOW-3D数值模拟来取代实际水工实验来计算排泄量成为可能。为了验证方程式3的可用性,利用不同边界条件的数学模型运行已经完成。结果显示在数值模拟与分析的解决方案间具有良好的一致性。通过观察结果中落差数SN,不难发现,在街道峡谷处没有对速度vs产生重要的影响(图11)。数值模拟表明:利用Disse et al. (2003)分析方法,可以针对类型二计算流入地下设施的流量。由此可以计算入口区域处的落差数,并可估计出临界注满时间。

3.3.5 洪水类型(三):结果

对于类型三而言,流入地下设施的流量取决于距离开口处被定义的静态水位hl 。在溢流区处当流速为vgr时最低能率将导致更低的水位(hgr = 2/3hl ),从而得出落差数SN,并在图12中给出。

3.3.6 危险等级


依照瑞士政府标准(见图13)并结合不同几何及水利边界条件的表格,可以将所有计算结果转化为危险等级。为此,一个名为RoFUF (Risk of Flooding Underground Facilities) 的风险评估工具被开发出来,用于计算基于表格数据的风险及危险性(www.rofuf.de, for free non-commercial use, Fig. 14)。针对三种不同洪水类型的边界条件,软件可给出地下设施的危险等级。值得一提的是绿色只用来表示“NO RISK”没有危险的时刻。而针对一些小危险,本文并没有利用该颜色来显示危害分布。在防洪薄弱区中用颜色绿色很容易被非专业人员误解(绿色=没有风险),尤其在公共区对洪水危险及危害分布图使用上,这需要人们避免。
Table 1. Example results for flood-type 2

 

4 结论

研究表明:洪水事件期间在入口处或地下设施内存在局部高危险。通过给定流速和水深参数,可对不同几何及水利边界条件的地下建筑物进行分类,从而定义危险或危害级别。尤其是在洪水传播附近区域及入口处高水位地区,可以评估出防止高危险的防洪措施。因此,可以在危险或危害分布图中给出对地下设施综合分析的建议。按照不同洪水流动过程,可分为三种洪水类型。对于每种洪水类型来说,通过给定重要水利边界条件的依据,用来确定所造成的危险级别。所有结果放在RoFUF这种风险评估的辅助决策系统中执行。

5 参考文献


Briechle, S. (2006) Flood Wave Propagation on a Plate after Malfunction of Flood Protections Measures. Original title: Die fl?chenhafte Ausbreitung der Flutwelle nach Versagen von Hochwasserschutz-einrichtungen an Flie?gew?ssern, PhD Thesis, RWTH Aachen, Germany.
Disse, M.; Kamrath, P.; Wilhelmi, J. and K?ngeter, J. (2003) Simulation of Floodwave and Propagation in matters of Dike Breaking. Original title: Simulation des Hochwasserwellenablaufes und der Ausbreitung von überflutungsfl?chen unter Berücksichtigung von Deichbrüchen,WasserWirtschaft 5/2003, DWA, Hennef, Germany. DKKV (2003) Lessons Learned. German Committee for Disaster Prevention (DKKV), Bonn, Germany.
Oertel, M. (2007) Scaling Effects on Flood Wave Propagation by Physical Modeling. Original title: Ma?stabseffekte bei der physikalischen Modellierung fl?chenhafter Flutwellenausbreitungen, Meeting of jung Scientists (JuWi) 2007, Kassel, Germany. Oertel, M. (2008) Analyzing Flooding Processes of Underground Facilities in Urban River Areas after Malfunction of Flood Protection Measures. Original title: Analye der Flutung unterirdischer Bauwerke in flussnahen urbanen Regionen nach Versagen von Hochwasserschutz-einrichtungen, Dissertation, University of Wuppertal.
RESCDAM (2000) The Use of Physical Models in Dam-Break Flood Analysis. Final Report of Helsinki University of Technology, Finnland.